• 全民古玩网瓷器、玉器、古币、银元、字画、文玩杂项、博物馆馆藏、古董收藏、古玩收藏

袁岚峰:于敏与氢弹

  • 古籍
  • 2021年11月06日07时

导读:了解了氢弹有多重要、开发氢弹有多难,你才能明白于敏的重要性在哪里:核威慑绝大部分来自氢弹。常规武器的威力远远低于原子弹,而原子弹的威力又远远低于氢弹,因为它们能量的来源不同。常规武器用的是化学能,原子弹用的是裂变能,氢弹用的是聚变能。


2019年1月16日下午,我正和许多科技工作者在“典赞·2018科普中国”的颁奖典礼现场,突然听到中国氢弹之父于敏去世了,享年93岁(1926-2019),不禁深感悲痛。


于敏


大家都知道,于敏对中国的氢弹研发发挥了关键作用。有许多人说,世界上的氢弹构型只有两种,一种叫泰勒-乌拉姆构型(Teller-Ulam design),一种叫于敏构型,而且于敏构型比泰勒-乌拉姆构型还要好。这种说法是真的吗?应该如何理解于敏的贡献,以及更广而言之,于敏的历史意义?


为此,我做了一些相关的调研。要充分理解于敏的工作,就需要首先理解氢弹的原理。而实际上,氢弹原理本身就是一个有趣的话题。了解了氢弹有多重要、开发氢弹有多难,你才能明白于敏的重要性在哪里。


关于氢弹,大多数人都知道,氢弹是人类制造过的最强大的武器。不过,强大到什么程度呢?很多人可能并没有充分理解。


让我们来看一些数据。有一种常用的炸药叫做三硝基甲苯,简称TNT。人们经常用当量(yield)来表示一个武器的威力,意思就是它放出的能量相当于多少质量的TNT爆炸。如果用能量单位焦耳来表示,那么1吨TNT爆炸释放的能量约等于41.84亿焦耳。


氢弹从未在实战中使用过,而原子弹使用过两次,就是二战末期投掷在日本的两颗原子弹。1945年8月6日投在广岛的那颗原子弹,代号叫“小男孩”,当量约为1.5万吨。1945年8月9日投在长崎的那颗原子弹,代号叫“胖子”,当量约为2.1万吨。


广岛上空的蘑菇云


1964年10月16日中国爆炸的第一颗原子弹,当量约为2.2万吨。


人类历史上试验过的威力最大的原子弹,是1952年11月16日美国爆炸的“常春藤之王”(Ivy King),它的当量是50万吨。


那么,氢弹是什么样的当量呢?


1967年6月17日中国爆炸的第一颗氢弹,当量约为330万吨。


中国第一颗氢弹爆炸


人类历史上第一次试验的氢弹,是1952年11月1日美国爆炸的“常春藤麦克”(Ivy Mike),它的当量是1040万吨。


常春藤麦克的蘑菇云


美国曾经装备部队的威力最大的氢弹,是B-41核炸弹,又称为Mark-41,在1961年至1976年期间服役。它的当量是2500万吨。


人类历史上试验过的威力最大的氢弹,当然也就是人类历史上试验过的威力最大的武器,是苏联在1961年10月31日爆炸的RDS-220氢弹,经常被称为“沙皇炸弹”。它的当量是——5000万吨!


你可以看出来了,原子弹的当量是在万吨至十万吨的级别,而氢弹的当量是在百万吨至千万吨的级别。基本上,氢弹的威力比原子弹高出两个量级!


这绝对不是说原子弹很弱。实际上,跟非核武器,也就是常规武器比一比,你就会理解原子弹的威力了。


近年来,美国宣布开发了一种前所未有强大的常规炸弹,叫做“炸弹之母”(MOAB)。



炸弹之母


后来,俄罗斯又宣布开发了一种更加强大的常规炸弹,叫做“炸弹之父”(FOAB)。


炸弹之父


这两个名字虽然看似搞笑,但不像那个航公对航母的笑话,这两种武器是真实存在的。许多媒体报道了这两种炸弹有多么多么恐怖,爆炸后产生的冲击波对武器装备和建筑物的破坏力相当惊人,还会造成缺氧状态,导致爆炸区域内生物窒息而死,然后说它们可以在一定程度上取代核武器。


那么,这两种炸弹的当量是多少呢?


回答是:炸弹之母11吨,炸弹之父44吨。


这是什么概念?即使是跟2万吨级的早期原子弹相比,这俩所谓“之父”、“之母”的当量也只有人家的百分之一到千分之一的量级。结果媒体说,你们要取代人家?这不是开玩笑吗?


现在你可以明白,为什么把武器分为核武器和常规武器了吧?前者和后者完全不是一个层面的!


所以武器的基本图景是:常规武器的威力远远低于原子弹,而原子弹的威力又远远低于氢弹。


看电影和读历史的时候,我经常想指出一点:打仗首先比的就是能量。如果一方比另一方掌握更高层次的能量,那么他就具有压倒性的优势。好比同样作为超级英雄,有些人只能使用自己的体力拳打脚踢,有些人却能用小型化核聚变反应堆飞天遁地,怪不得前者经常苦哈哈的,而后者就潇洒多了。


蝙蝠侠


钢铁侠


虽然我们经常用到核威慑这个词,但现在你可以明白,核威慑绝大部分来自氢弹。原子弹的威慑只能诈唬诈唬无核国家,对有氢弹的国家来说基本属于逗比行为。正如古典小说中常见的句式:“萤火之光,也敢与日月争辉?”


让我们来做一个小测验:世界上哪些国家有氢弹?


回答是:按照获得氢弹的顺序,分别是美国、苏联、英国、中国、法国。


哎呀,这么巧啊,刚好是联合国安理会五个常任理事国?嗯,这是不是巧合,就看你怎么理解了。你也可以认为,因为这五个国家有氢弹,所以它们成了五常。五常表示:地球的和平,就靠我们来保卫了!


世界上还有些国家,号称是有核国家,但一般认为它们只有原子弹,没有氢弹。这些国家包括:以色列、印度、巴基斯坦、朝鲜,以及曾经的南非。


你觉得这些有核国家对你的威胁有多大呢?


恐怕大不到哪里去。否则为什么南非要带个“曾经”啊?南非曾经建造过六七件核武器,后来在国际原子能机构的监视下拆除了。如果南非有过氢弹,你觉得谁能强迫它拆除?


这里还有一个有趣的故事,是关于朝鲜的。2017年9月3日,朝鲜宣称举行了一次地下氢弹试验,然后欢庆自己掌握了氢弹技术。但是外界对此充满怀疑,因为根据我的科大同事、地球与空间科学学院温联星教授检测到的数据,这次试验的当量大约是10.83万吨加减4.81万吨。


在前面我们举的例子中,氢弹的当量都是百万吨甚至千万吨的级别,结果这里搞个十万吨的就号称是氢弹?十万吨的氢弹也不是没有,五常会造,这是小型化的技术。但是对朝鲜来说,难道第一次试验,就掌握了氢弹小型化的技术?走还没学会呢,就直接会飞了?你是愿意相信这个,还是愿意相信……这次爆炸的根本不是氢弹?


顺便说一句,温联星是著名的地球物理学家,他们实验室发展了最先进的地震高精度定位方法。因此每次朝鲜核试验,他们都会探测一番,然后发表若干篇高档次的学术文章,然后媒体愉快地报道一通。在这个意义上,最喜欢朝鲜核试验的,除了朝鲜人,大概就是温联星教授!


温联星


还有一个有趣的故事,是最近的一条新闻。在尼日利亚的一所学校里,曾经有一公斤浓度高达90%的高浓缩铀,用于微型核反应堆的研究。恐怖组织“博科圣地”兴起后,国际社会十分担忧恐怖组织会得到高浓缩铀,把它做成武器。因此,中、美、俄、英等国联手,在24小时内进行了一场堪比电影大片的特别行动,把这一公斤高浓缩铀用俄罗斯的飞机转移到了中国石家庄。


中核集团网站报道,配图为尼日利亚高浓缩铀运抵中国


这个故事说明,核大国之间即使在许多事情上吵吵嚷嚷,但在防止核扩散上还是有强烈的共同利益的。到了维护世界和平的关键时候,五常并不是吃白饭的。


尼日利亚之所以同意把高浓缩铀转移走,一个重要原因是中国能帮他们实现微堆低浓化改造。也就是说,在不改变堆芯尺寸的情况下,将高浓铀组件换成低浓铀组件。改造后的微堆可以满足原微堆的所有功能,安全性能更好,燃料使用寿命更长。


2016年,中国原子能科学研究院在经过5年攻关后,成功将微堆中的核燃料富集度从90%降至12.5%,并实现满功率运行,使中国成为全世界唯一完全掌握微型中子源反应堆技术的国家。


2018年8月,中国在国际原子能机构框架下,与尼日利亚政府签署了有关微堆低浓化改造工作的协议。10月20日,中核集团顺利出口低浓铀新燃料。11月27日,使用新燃料的尼日利亚微堆达到满功率运行。


所以你看,要维护世界和平,最重要的是什么?是你的科技实力!


好,在了解了这些基本背景之后,科学问题就出来了:常规武器与原子弹之间、原子弹与氢弹之间,为什么存在如此巨大的差距?


一言以蔽之:能量的来源不同。常规武器用的是化学能,原子弹用的是裂变能,氢弹用的是聚变能。


化学能来自化学反应,本质是在原子核不变的情况下,原子核外的电子重新排布。


甲烷燃烧反应


裂变能来自核裂变,就是一个原子核分裂成多个原子核。


铀-235裂变


聚变能来自核聚变,就是多个原子核聚合成一个原子核。


氘氚核聚变


原子核是由质子和中子组成的,两者统称核子。核子之间的结合能,远远高于电子与原子核的结合能。也就是说,把一个原子核拆成相距遥远的若干个核子所需的能量,远远高于把一个原子拆成相距遥远的原子核与电子所需的能量。


你如果要问更本质的原因,就是:把电子跟原子核结合在一起的力叫做电磁力,把核子结合在一起的力叫做强相互作用。电磁力是大家在日常生活中非常熟悉的,就是电力和磁力,你用的所有电器都是基于电磁力的。而强相互作用是在日常生活中见不到的,只会出现在两个核子相距非常近的时候,比如原子核内部,而如果两个核子距离稍微远一点,就衰减到几乎为零了。《三体》中设想了一种所谓强相互作用材料,就是著名的“水滴”,这在目前还只是个幻想。


《三体》水滴


顾名思义,强相互作用比电磁力强得多。这是符合直觉的,越是内核的东西,结合得当然越紧密。所以,核反应涉及的能量标度在本质上就比化学反应高得多。


这样,我们能够理解为什么核能远远高于化学能。但在核能内部,为什么聚变能又远远高于裂变能呢?


实际上,单个裂变反应释放的能量往往大于单个聚变反应释放的能量。但是别忘了,两种反应的起点不同。聚变的反应物是轻原子核,例如氢和氦。而裂变的反应物是重原子核,例如铀和镭。这些重原子核的质量是轻原子核的上百倍,因此当你计算单位质量反应物放出的能量,也就是能量密度的时候,聚变就比裂变强大得多了。


既然如此,人们为什么没有直接开发氢弹,而是先开发出了原子弹呢?


原因在于,聚变比裂变难发生得多。


裂变是从原子核里跑出一些东西,比如一个中子。根据量子力学,这个东西在任何时刻都有一定的几率跑出来,这个几率只取决于原子核的势垒。这就意味着,裂变跟温度、压强、化学反应等外部因素无关。如果一种原子核能裂变,比如说铀,那么无论它在什么温度下,什么压强下,无论以铀单质还是化合物的形式存在,都会以相同的速度裂变。


聚变是把两个原子核聚在一起,而原子核中的质子是带正电的。这就意味着,两个原子核之间存在静电斥力。如果两个原子核靠得非常近,它们之间的强相互作用就会超过静电斥力,发生聚变。但如果没有很高的初始能量,它们就不可能克服静电斥力,靠到这么近。因此,核聚变需要外界条件的帮助,需要非常高的温度和压强。


高到什么程度呢?比如说太阳的能量就来自核聚变,太阳中心的温度是1500万度,压强是2000亿个大气压。


太阳


地球上实现不了这么高的压强,要发生核聚变,就只好把温度升到更高,比如说上亿度。


有什么办法能达到这么苛刻的条件呢?有了原子弹之后,显而易见的答案就是:用原子弹。所以氢弹都是用原子弹引爆的,先用裂变达到聚变条件,再通过聚变放出更大的能量。因此,氢弹又被称为聚变武器,或者热核武器。


了解了这些基本原理,就可以解答很多问题,例如我为什么经常呼吁发展可控核聚变。原因很简单,这是人类已知科学原理的最强大的能源。飞出太阳系,移民宇宙,一定要靠可控核聚变。


又如近年来,人们在全氮阴离子盐、金属氢等高能材料的研究方向取得了许多进展,中国的研究组就发了好几篇《Science》。媒体也经常说,这些高能材料有望制成超高能量密度的炸药。于是经常有读者来问我:这些炸药能不能代替核武器?


答案很明显:不能。能量密度再高的化学能材料还是化学能,跟核能不可同日而语。这种问题真是应了一句名言:年轻人,你对力量一无所知!


你们对力量一无所知


最先成功的氢弹构型叫做泰勒-乌拉姆构型。它的关键思想,可能在于不是指望裂变产生的高温导致聚变,而是指望把裂变释放的X射线的能量回收转化成热能,在聚变材料内部产生高温。这样就有可能在聚变材料被炸散之前,使大部分聚变材料发生聚变。


我们解释了原子弹和氢弹的科学原理,即核裂变和核聚变。了解了这些科学原理之后,下一个问题是:氢弹和原子弹在工程上的设计关键是什么呢?


对不起,我不知道。如果我知道,那么我就是保密系统内部的人了,所以我还是不可能告诉你,对不对?嗯,真是好像《第二十二条军规》。


无论如何,我想大家都能够理解,核武器的设计诀窍对每一个有核国家来说,都是顶级机密。现在大家在网络上看到的各种信息,其实全都是猜测,从来没有得到官方的确认。


我们能够谈的,是一些历史性、学术性的信息。


最先成功的氢弹构型叫做泰勒-乌拉姆构型(Teller-Ulam design),它是由美籍匈牙利裔犹太理论物理学家爱德华·泰勒(Edward Teller,1908-2003)和美籍波兰裔数学家斯坦尼斯拉夫·乌拉姆(Stanisaw Marcin Ulam,1909-1984)在1951年提出的。顺便说一句,泰勒是杨振宁的博士导师,泰勒和乌拉姆都是我的专业领域“理论与计算化学”的先驱。

爱德华·泰勒


斯坦尼斯拉夫·乌拉姆


那么,泰勒-乌拉姆构型说的是什么呢?


对不起,我不知道。只是根据各种猜测,看起来以下这些说法似乎可能仿佛有点道理。


如果你根据我们前面描述的氢弹基本原理去设计氢弹,那么你最容易想到的很可能是,在一颗原子弹的外面套上一层聚变材料的壳。但这样的设计不会成功,即使能发生一点点聚变,效率也极低,因为绝大部分聚变材料都被炸得四散粉碎了,来不及发生聚变。


泰勒-乌拉姆构型的妙处,可能就在于把裂变与聚变材料分为两个腔体存放。裂变发生以后,最先释放出来的是X射线。我们不是指望裂变产生的高温本身导致聚变,而是指望把X射线的能量回收转化成热能,在聚变材料内部产生高温。这样就有可能在聚变材料被炸散之前,让它们达到足够的温度,使大部分聚变材料都发生聚变。


用技术性的语言说,这种设计叫做“分级化”(staging)。用第一级的裂变,推动第二级的聚变。


更现代的设计可能还包括第三级,在热核装料外包上一层铀-238的外壳。聚变产生的高能中子使铀-238裂变,释放出更多的能量和中子,进一步加剧聚变,使核弹的威力成倍地提高。这样的武器被称为三相弹(Tri-phase Thermonuclear Bomb),现在大多数的氢弹可能都是三相弹。


再次强调一下,这些全是猜测,不能当成确定的信息。


还有一些有趣的相关信息是,有了泰勒-乌拉姆构型之后,氢弹的威力在原理上就可以无限提升了,而原子弹不能。即使你使用再多的裂变材料,也很难让原子弹的当量超过前面说的“常春藤之王”的50万吨。


氢弹威力的无限提升,有一个惊人的例子,就是前面说的人类历史上最强的武器,当量5千万吨的“沙皇炸弹”。这个数值,相当于二战中使用的所有常规炸药之和的十倍。但实际上,这颗炸弹还没有发挥出它全部的威力。它最初的设计指标,是吓死人的一亿吨!在试验的时候,人们做了一些改动,具体地说,是把某些部分的材料从铀-238换成了铅,导致它的当量降低了一半。


为什么要做这个改动呢?一方面是考虑到对环境的影响,另一方面还有一个更直接的原因,就是扔炸弹的飞机乘务员还想活着回来呢。飞机在投弹之后即使拼命逃跑,也仍然有很大的可能被爆炸波及摧毁。如果用一亿吨的完全设计,那么飞行员基本上就死定了。如果减为5千万吨,那么根据计算,飞行员有50%的几率逃生。


你看,一项有一半几率送命的任务,这位苏联飞行员就这么勇敢地去了,在这一点上不能不令人佩服。让我们记住他的名字:安德烈·杜尔诺夫柴夫少校(Major Andrei E. Durnovtsev)。


实际发生的情况是:炸弹从10500米的高度被投下,在4200米左右的高度爆炸。此时投弹的Tu-95V飞机已经飞出了39公里。然后,冲击波在115公里处追上了这架飞机,剧烈的震荡导致它在空中下降了一千米。幸运的是,这架飞机最终还是恢复了控制,并且安全着陆了。好一场俄罗斯轮盘赌!杜尔诺夫柴夫少校在任务结束后就地升任中校,并且获颁苏联英雄勋章。


沙皇炸弹的爆炸地点


沙皇炸弹产生了一个直径8公里的火球,在1000公里之外都能看见。


沙皇炸弹产生的火球


它产生的蘑菇云高达67公里,超过珠穆朗玛峰高度的七倍,这意味着它已经超出了大气层的平流层,进入了中间层。蘑菇云的顶部宽度达到95公里,底部宽度达到40公里。


沙皇炸弹产生的蘑菇云,在161公里外看到,当时蘑菇云的顶部高度是65公里


在爆炸地点数百公里内,木造的房屋都全毁,砖造或石造房屋的门窗与屋顶都被强风吹走,无线电通讯中断了一个小时。尽管爆炸发生在距地面4.2公里的高空,但它在地面上引发了地震波,强度为5-5.25级,许多地面的核试验也不过是这个震级。在冲击波环绕地球三次后,传感器仍然能够探测到它的信号。


因此我们可以理解,氢弹跟其他的武器有本质的区别。常规武器对地球来说纯属挠痒痒,原子弹也只是能在大城市杀死很多人,对地球影响不大。氢弹却真的是威力太大了,完全有可能破坏全球环境,毁灭人类。


当然,这种巨大的威力也可以用作建设性的目的。《三体》里的面壁人之一雷迪亚兹的主意,就是用氢弹在水星上炸出很多大坑,把水星推出轨道,造成连锁反应,摧毁整个太阳系,用这种焦土战略吓阻三体人的入侵。这个计划最后还真的派上了用场,每一位面壁人的殚精竭虑都没有白费,念念不忘,必有回响,令人热泪盈眶。


由于氢弹的威力如此之大,因此前所未有地出现了小型化的需求。以前的武器都希望威力越大越好,氢弹却希望威力小点好,太大就没法用了。此外,在总的当量固定的前提下,多个小弹头的破坏力也大于单个大弹头。因此,五常现在装备的氢弹,大都是分导式多弹头导弹。于敏的重要贡献之一,就是在为中国开发出氢弹之后,又使得中国掌握了氢弹小型化的技术。


这就引出了一个专业问题。我们衡量一个武器的优劣,不仅应该看它的当量,还应该看它单位质量的当量,即当量质量比(yield-to-weight ratio)。


在实践中,氢弹的当量质量比的上限大约是6百万,也就是说,一吨质量能产生6百万吨TNT爆炸的能量。原子弹的当量质量比就低得多,例如见维基百科上“核武器当量”。

美国核武器的质量与当量统计图


请注意这个图用的是对数坐标,横纵坐标分别是武器质量和当量的对数。在质量差不多的情况下,原子弹的数据点明显在氢弹的下方,差两三个量级,当量质量比大约是几千。


大家可以想想,常规武器的当量质量比是什么量级?


当然是1的量级了!因为同样是化学能,即使你用的化学炸药的能量密度比TNT高很多,也不可能有数量级的差别,所以基本上只能一吨换一吨,还想啥自行车?


一个有趣的问题是,苏联是怎么获得氢弹技术的?


如果说爱德华·泰勒是人类的氢弹之父和美国的氢弹之父,那么在媒体中也有一位苏联的氢弹之父,就是著名的理论物理学家、1975年诺贝尔和平奖得主安德烈·萨哈罗夫(Andrei Dmitrievich Sakharov,1921-1989)。没错,这位老兄得的诺贝尔奖是和平奖,而不是物理学奖,虽然他对物理学也有很大的贡献。


安德烈·萨哈罗夫


他在设计出苏联的氢弹之后,变成了著名的和平运动人士。尤其是那颗5千万吨的沙皇炸弹,作为设计师之一,萨哈罗夫原本力劝赫鲁晓夫不要去试验,因为对环境的破坏太大,但赫鲁晓夫还是一意孤行炸了。萨哈罗夫非常愤怒,从此就成为了苏联政府强烈的批评者,虽历经压制而不改。


我们对萨哈罗夫的学术成就和道德勇气,致以崇高的敬意。还有另外一位科学家,对苏联的氢弹可能也发挥了关键作用。他的作用非常特殊,并不是在苏联开发出了氢弹技术,而是把美国的相关信息传递给了苏联。也就是说,他是一位间谍。这位科学家叫做克劳斯·富克斯(Emil Julius Klaus Fuchs,1911-1988)。


克劳斯·富克斯


著名的物理学家、恒星核聚变的发现者、1967年诺贝尔物理学奖得主汉斯·贝特(Hans Albrecht Bethe,1906-2005)认为,富克斯是唯一的一位真正改变了历史的物理学家。


汉斯·贝特


富克斯1911年出生在德国,从小信奉共产主义,1933年逃避纳粹的迫害逃到英国,1942年获得英国国籍。二战期间,他参与了英国的原子弹项目“管合金”(Tube Alloys),同时和苏联情报机构接上了头。富克斯做这些事不是为了钱,而是出于信仰。


1943年,富克斯被调到美国,参与了曼哈顿计划。他在其中做出了很多贡献,被汉斯·贝特称赞为“我们部门最有价值的人之一”和“我们拥有的最好的理论物理学家之一”。


顺便说一句,在洛斯阿拉莫斯,富克斯和当时还很年轻的理查德·费曼(Richard Phillips Feynman,1918-1988)成了好朋友。费曼的妻子艾莲(Arline Greenbaum)当时身患重病,费曼去医院看望她时,就是借富克斯的别克汽车去的。


理查德·费曼


1946年,富克斯回到英国。从1947年到1949年,他向苏联提供了制造氢弹的主要理论大纲以及英国和美国发展氢弹的最初草稿。


富克斯的情报在多大程度上帮助了苏联的氢弹研发呢?其实我们不知道。因为当时美国还没有找到氢弹的正确构型呢,富克斯怎么可能把它告诉苏联人?也就是说,富克斯做的事情的重要性,从“真正改变了历史”到“完全没有用处”,都不排除可能。模糊性,正是关于氢弹的信息的一个常见特点。但无论如何,富克斯做的事,绝对是有改变历史的潜力的。


1949年底,英国情报机构对富克斯产生了怀疑。1950年1月,富克斯主动承认自己是一名间谍。英国法庭判处他14年监禁,剥夺了他的英国国籍。1959年6月23日,在坐牢9年4个月后,富克斯被释放,并迅速移民到了德意志民主共和国,也就是东德。后来富克斯在东德继续他的科学生涯,并作为研究的领导者取得了相当大的成就。


在抵达柏林机场时,富克斯受到了他在学生时代的女性朋友格蕾特·凯尔松(Margarete (Grete) Fuchs-Keilson,1905-1999)的迎接。格蕾特也是一位坚定的共产主义战士,曾经作过共产国际执行委员会总书记季米特洛夫(Georgi Dimitrov Mikhaylov,1882-1949)的助手。富克斯和格蕾特在1959年9月9日结婚,去世后合葬在一起。


格蕾特与富克斯在柏林的墓碑


虽然苏联和东德都已成为往事,但两人在机场相见的画面仍然令人感动不已。一个人做事只要是出于人类的利益和崇高的理想,而不是为了私利,那么无论成败利钝,都应该得到我们的温情与敬意。所以,当然也应该有志同道合的人在温柔地等待着他。正如孔子所说:“德不孤,必有邻。”


有些研究者认为,富克斯给钱三强和其他中国科学家讲过课,帮助了中国在5年后爆炸原子弹。也有研究者质疑这种说法。当然,中国的原子弹项目本来就获得过苏联的帮助,有没有富克斯的帮助并没有本质区别。


说完了美国和苏联是如何造出氢弹的,我们终于可以来讨论于敏的工作了。


于敏的老同事、老朋友何祚庥写道:“从我来看,我认为于敏是当之无愧的中国氢弹构型的最主要的发明者。回顾那一时期所做各项工作,可以说,在氢弹的预先研究过程中,几乎所有的难点的解决都出自于敏的贡献,而我仅是站在一旁的积极的促进者!”


我们解释了氢弹的科学原理、工程重点以及美国、苏联造出氢弹的过程。在了解这些背景之后,我们终于可以正面阐述于敏的工作了。


赞颂于敏成就的文章,大家很可能已经看过了很多。不过其中绝大多数都只是告诉你,于敏做了这个做了那个,但对这个那个的细节没有解释,所以大多数读者的印象,恐怕只是“不明觉厉”,看再多也看不出个门道。然而,有一篇文章,却完全打破了常规,描述了极其丰富的于敏工作的细节,信息量大得惊人。


这篇文章之所以这么独特,是因为它的作者是于敏的老同事和老朋友、著名的理论物理学家何祚庥院士。于敏生于1926年,何祚庥生于1927年,他们从青年时代开始就参与了中国的核武器工程,隐姓埋名艰苦奋斗多年,做出了重要的贡献。


何祚庥


2015年1月9日,于敏获得2014年度国家最高科学技术奖。为此,《现代物理知识》杂志在2015年2月2日采访了何祚庥,请他谈谈于敏的工作和学风。何祚庥欣然长谈,全文长达两万多字,可以在他的科学网博客见到。


此文的风格跟绝大多数关于于敏的文章完全不同,非常幽默风趣,同时又充满了技术性干货,而且直话直说,坦率程度也十分惊人,不愧是老同事老朋友的回忆。总而言之,对专业人士来说,这正是最好看的那种类型。当然,前提是你能看懂他在说什么,而这一点对绝大多数读者构成了最大的障碍。


因此,下面我就来把此文“翻译”成普通读者容易理解的故事。什么故事呢?于敏与何祚庥等人如何像勇闯黄道十二宫似的一关关地打上去,从对氢弹所知甚少,到揭示出氢弹的秘密。


在开始描述这个故事之前,何祚庥首先对中国的核武器研发,给出了一个总的框架性描述。


记者问:中国的核武器是自己研发出来,还是苏联人给我们或自美国人那里“偷”来的?


一般人想到的回答,可能只有一句:当然是自己研发出来的。但何祚庥讲的,远远比这丰富。


苏联人认为中国的原子弹是他们给我们的。实际情况是,他们只是给了我们原子弹的一个教学模型的框图。本来赫鲁晓夫承诺给我们一个样品,后来反悔取消了。但中国人根据这个教学模型的框图,自己摸索、探索,掌握了原子弹的全部机理,最后独立研制成功了内爆式的以U-235为燃料的原子弹。


中国第一颗原子弹爆炸


至于氢弹,那完全是中国人自己摸索出来的。有一位俄罗斯科学家,在和中国学者谈及往事的时候,直截了当地承认了这一事实。有不少美国人,特别是美国议员,老是怀疑中国人“偷”了他们的“秘密”。朱镕基总理曾经向这些人说:“你们的‘怀疑’,至少是犯了两个错误。第一,你们过低地估计了中国科技界创新的能力。第二,你们也过低地估计了你们的强有力的保密制度的能力。我们虽然也想‘偷’,问题是,你们的保密能力太强!我们‘偷’不着!”


但是,我们也需要注意,中国研发氢弹,是以美国、苏联的成功为前提的。何祚庥和于敏私下曾多次交换过意见,如果没有美苏的成功范例在先,那我们也绝对不会敢于“闯”这个重大难关的。原因是,如果遭到了失败,如果浪费了大量的钱,怎么向国人交代?在这个意义上,我们不能对中国人的创新能力做过高的估计!当时的中国科技界,其实还没有学会独立自主地开拓原始性创新。


我对何祚庥的这个观点完全赞同,这里还可以稍稍再解读一下。我经常强调,原创和追赶有本质的区别。


请问,原子弹最大的秘密是什么?其实就是一句话:“原子弹可以被制造出来。”只要知道这一句话,你就已经获得了最关键的信息。因为只要知道这一点,你就有了必胜的信心,知道肯定存在可行的技术路线,所有的困难都是可以解决的,唯一的问题就是把这个技术路线找出来。


我们的宣传经常说,其他国家造出原子弹用了多少年,我们只用了多少年,其他国家从原子弹到氢弹用了多少年,我们只用了多少年。时间比别人缩短了,当然很好。但是这个比较本身就是不公平的,因为第一个探路的难度远远大于后面跟着走的。


如果一个外星文明发现了地球,他们会问,哪个国家花了多少时间造出核武器吗?恐怕不会。他们首先关心的应该是:地球人有没有造出核武器?


所以,我们应该转换思维方式,更多地要以花别人2倍的钱办到别人1.5倍的事而自豪,而不是以花别人10%的钱办到别人20%的事而自豪。我们现在完全有条件、有能力去原创,我们应该明确地去追求原创!


说完了这些思考,让我们回到何祚庥的论述。


何祚庥说,他和于敏等人研发氢弹的过程,是中国人“第一次”从“第一原理”出发,独立而完整地建立和开发了氢弹的理论、技术,直到建立和实现中国自己的核打击力量。


许多人可能要问,“第一原理”是什么?我来解读一下。这个词在我的学科“理论与计算化学”中是个常用词,英文是first principles,中文也经常叫做“第一性原理”,意思是不依赖于参数的基本理论。


当我们学科的工作者说从第一原理出发计算了某种物质的某种性质的时候,意思是:我们只需要知道这种物质的化学组成,比如说食盐是氯化钠,石英是二氧化硅,然后这就够了,我们就能定量地预测它的每一个原子位于什么位置,预测它的密度、硬度、电导率、磁化率等等性质,不需要实验提供任何参数。


NaCl晶体结构


当然,预测的准确度有多高是另一个问题。如果预测不准,往往是因为在计算过程中引入了一些近似,为了节约计算量。但无论如何,在原则上这些计算都是可以做的,这就是“第一原理”的意义。


如果你不知道“第一原理”,你就只能搞一堆经验公式,知其然而不知其所以然。换个条件会变成什么样,你心里完全没底。像这样就只能抄作业,想自己做些改进都困难重重,更不用说开发新的东西了。举个例子,一些富裕的石油国家买了很多先进武器,但你什么时候见过他们开发一种新的武器?


何祚庥说,正因为这次研发是从“第一原理”出发的,所以中国人不仅能研发出原子弹、氢弹,还能在核武器领域独立而持续地发展,进一步又研发出中子弹等其它具备多种功能的核弹,还实现了核武器的轻型化、小型化。这就是“第一原理”的基础作用。


然后记者问了何祚庥一个很常见的问题:为什么中国人在原子弹爆炸后两年零八个月便爆炸了氢弹?而其它国家往往在5~8年后才爆炸了第一枚氢弹?


一般人对此的回答,可能只是赞扬一番中国人民。何祚庥的回答却是:中国对氢弹的研究并不是在1964年10月爆炸第一颗原子弹之后才开始的,预先研究从1960年12月就决策上马了,也就是说提前了近四年。


实际上,何祚庥在此文中记述的他和于敏合作研发氢弹的历程,就是这段预研的经历。1964年10月以后,两人就由于工作调动分开了,于敏研究氢弹,何祚庥参加基本粒子的理论研究。根据其他一些纪念于敏的文章,中国完全突破氢弹原理是在1965年,里程碑是当年10月于敏做的报告“氢弹原理设想”。但根据何祚庥此文,在预研期间,于敏等人就已经解决了大部分问题。


因此,何祚庥指出,现在流行的宣传说,中国人“仅在两年零八个月时间内,独立自主的研发出氢弹”,这样的宣传并不符合客观事实,而且背离科学认识论的规律。中国人的头脑并不笨,但也决不会特别聪明。我们千万不要把话说过头。


中国的氢弹预研能够成功,一个重要原因是:及早将于敏这样“大师”级的研究人员请来。请注意,大师级是何祚庥的原文。虽然于敏当时只有34岁,但已经是大师级的研究者了!


于敏是著名物理学家张宗燧先生(1915-1969)的研究生。毕业后,张宗燧为于敏写了封强烈的推荐信,然后他在近代物理研究所任助理研究员。在年青人中,于敏一直以业务能力特强而著名。


张宗燧


你觉得这是好事吗?结果是,在那一时期,于敏便成为“专而不红”的一面“旗帜”。顺便说一句,1969年,张宗燧因受极左路线的迫害而服安眠药自杀,年仅54岁。


1958年8月1日,于敏从原子能所一部调到二部。在1960年原子能所二部的“红专大辩论”和“拔白旗”的运动中,于敏成为白专道路的一面旗帜而被“打倒”!


无论如何,当于敏这位经常被打倒的大师被调到氢弹的预研项目之后,立刻就做出了一个重要的贡献。于敏的座右铭是诸葛亮的名言:“淡泊以明志,宁静而致远。”所以年青朋友们经常笑他“以诸葛亮自居”。但这位诸葛亮一出山,立刻就打响了一出“火烧博望坡”!


具体而言,于敏解决的是这样一个问题:中国要不要生产氚?


我们来注释一下,氢弹既然叫做氢弹,里边当然会用到氢的同位素。最常见的氢原子核只有一个质子,而同位素氘包含一个质子和一个中子,符号是D,同位素氚包含一个质子和两个中子,符号是T。


那么,这些同位素发生聚变的难易程度如何呢?氢弹预研组通过调研“发现”,氘氚的反应截面(reaction cross section)很大,比氘氘高出几十倍。而氚氚的反应截面更高,是氘氚的3倍。


你可能要问了:反应截面是什么?


简短的回答是,你可以把反应截面理解为拦截的面积。设想有一个粒子A静止不动,另一个粒子B向着A过来。这时A张开一把伞。B如果撞到这把伞上,两个粒子就会发生反应。如果B没有撞到这把伞上,两个粒子就不会反应。这把伞的面积,就叫做反应截面。显然,这把伞的面积越大,反应就越容易发生。

反应截面


因此,涉及氚的反应截面很大,意味着用氚就很容易发生聚变。那么,氚是不是氢弹的必需品?中国是不是应该部署生产氚?


但是,中国当时的科研经费极为紧张。而氚,在那一时期,简直是比大熊猫还要难得的珍稀动物!中国连做一个实验用的氚靶,都做不出来!既拿不出钱来制造一台有氚束的加速器,也不知道如何大量生产氚。所以,如果氚是氢弹的必需品,中国立刻就被挤进了死胡同。


那么,于敏干了什么呢?于敏证明了他们搜集的数据肯定是错的,氚氚的反应截面不可能有这么大!


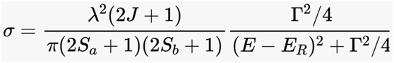
让我们定量地说明一下。反应截面经常以“巴”为单位,1巴等于10的-28次方平方米,也就是说等于一个边长为10的-14次方米的正方形的面积,这个长度是核反应常见的距离尺度。氢弹预研组从一本美国的权威杂志《现代物理评论》上查到,氚氚反应截面高达15巴。


但是于敏注意到,有一个公式叫做Breit-Wigner公式,它可以通过两个粒子的共振能量来计算它们反应截面的上限。这个公式的形式如下:


Breit-Wigner公式


利用Breit-Wigner公式,于敏证明了,所有轻核反应的截面都不可能超过5巴。而所谓氚氚反应截面高达15巴的数据,一定是错的!


这就避免了一次“大浪费”!于敏避免了中国的氢弹研究走上一条歧路,节约了宝贵的资金和时间。


既然不需要生产氚,那么氢弹应该用什么材料制造呢?下一个选择,必定是氘化锂。也就是把氢化锂中的氢原子换成同位素氘,化学式是LiD。


用氘化锂的好处,首先在于它在常温下是固体,这就不需要像前面说的人类第一颗氢弹“常春藤麦克”那样,带着巨大的冷却装置了。如果用液态氢做氢弹,就少不了冷却装置,所以无法用于实战。


然后,氘化锂中不仅氘是聚变材料,锂也可能成为聚变材料,例如中子和Li-6反应形成氚。这就是为什么要用氘化锂,而不是氘化钠、氘化钾等等。


那么,最简单的设想就是:能否在原子弹外面加上一个氘化锂的球壳,用原子弹产生的高温,直接点燃氘化锂的热核反应?


但是,他们的理论研究发现,原子弹爆炸传给氘化锂的热量会迅速被电子和光子分走,导致氘化锂发生不了聚变。甚至,即使在氘化锂中掺入一部分氚化锂,都无法点燃。这就完全粉碎了最初的期望!


那么,出路何在?


下一个想法是,如果引入更多的核反应,把新释放的能量转移或集中在氘化锂的等离子体里,也许可以使氘化锂里积累的热量大过损失的热量,从而维持一个链式反应,形成大爆炸。


具体地说,例如这样一个循环:裂变中子→被锂6吸收形成氚→由氘氚反应释放出14.1 MeV中子(MeV表示百万电子伏特,电子伏特是一个能量单位)→14.1 MeV中子轰击到重核元素,如铀238→产生4.5个裂变中子。这其实就是当今受控热核反应界热衷研究的“聚变裂变混合堆”,就是由聚变和裂变共同组成链式反应。看起来,这就像是前面说的三相弹的原理。


那么,怎么知道这个设想是否可行呢?


要判断一个理论模型对不对,不应该一上来就去做耗费巨大的实验,那样你有多少钱都不够烧的。你应该先做数值模拟,把模拟结果当做一种数值实验,看看模型是否抓住了其中的基本物理。那么,为什么中国研究者可以做数值模拟,那些富裕的石油国家做不了呢?这就回到前面说的了,因为中国研究者知道“第一原理”。


但是,这个链式反应机制的计算量非常大,需要求解某个有一定结构下的中子输运方程和辐射流体力学的联立方程。当时,在我们极其有限的计算机条件下,相当难以解决。


这时,于敏立即说,先研究一个理想模型!


于敏建议完全略去介质的运动,先构造一个静态的无限大的中子增殖的模型,专门计算中子的增殖速度,同时也就给出升温速度。这就可以略去求解辐射流体力学方程带来的巨大麻烦,大大节省了计算量。


对这个理想模型的数值模拟,看起来很有希望。那么,下一步就是建立一个接近真实的模型。为了设计一个真正可以作战的氢弹,必须研究和推导出描述氢弹升温、点火以及爆炸过程的动力学方程。


下面是何祚庥的一段原文:


“当时,我曾和于敏共同从事这一重大理论问题的探讨。但很抱歉,我的理论物理的水平太低了。可以说,在演算过程中所遇到的各种难点,包括积分方程的求解,都是于敏一人完成的!我只能是一位‘高水平’的旁观者、见证者、欣赏者兼赞扬者!”


我们现在看到何祚庥说“我的理论物理的水平太低了”,实在不禁哈哈大笑,也不禁对他的诚恳与谦虚深感敬意。这正是科学家的本色,有一说一,光风霁月。


再来看何祚庥的一段原文:


“于敏和我又设法……计算出所需的热传导系数。……我直接负责这方面的研究。但在碰到难以克服的难题时,就找于敏请教和讨论。而于敏总是能找出一些巧妙的简化问题的方法,给出回答。有一次,我遇到等离子体态内存在多个能级均有贡献,但不知如何相加的困难。而到了于敏那里,他立即用‘求和规则’,求出一个简单的可信的结果,从而大大节省了计算的工作量!”


好吧,感觉于敏就像哆啦A梦!你有什么问题去找他,他总是立即掏出个解决办法……


何祚庥又说道:“我和庆承瑞曾给出一个测量中微子质量时检验其测量精度的一个求和规则。而这一方法的运用,其实是学自于敏。”


我们注释一下,庆承瑞就是何祚庥夫人,她和何祚庥都是中国科学院理论物理研究所研究员。许多人直接用了别人的东西都不提,而何祚庥间接借鉴了于敏的思想都致谢,看看人和人之间的风度差别有多大!


庆承瑞与何祚庥


在有了氢弹点燃和爆炸机理和运动方程式后,于敏与何祚庥等人就开始尝试设计各种可能的几何结构,试图求解氢弹满足的运动方程式。也就是说,他们推进到了下一步,即实际设计构型。


他们猜测了几种可能的构型,却屡战屡败!


为什么呢?


有了运动方程式,并不等于认识到由运动方程式所描述的爆炸的机理。用物理学家的“行话”来说,就是要从已有的方程式中找出隐藏在方程后面的“新物理”。


这时,于敏又提出了一个关键的主意。他建议,用一维模型探究隐藏在运动方程式后面的新物理。也就是说,先去研究一维的情况,也许会对三维的情况提供启发。


何祚庥在这里写道:


“这其实是理论物理学家们深入研究复杂运动的‘本质’时,最常用的研究方法。不过,水平甚低的何祚庥,却不知如何具体运用这一方法。”


好嘛,“水平甚低的何祚庥”又来了!再次令人哈哈大笑,以及深感钦佩。


但即使是一维的模型,这些方程也非常难解。怎么办呢?


于敏又出主意了。有一个研究领域叫做“常微分方程的定性理论”,也就是说,不需要精确解出方程,通过一些定性分析就能知道方程解的很多重要性质。


经过这样的学习和研究,他们对氢弹的爆炸机理,有了比较深入的了解。为什么一个发散的爆震波会使等离子体中的热量由递增而递减?而一个向心的爆震波却能使等离子体内的温度不断上升从而诱发大爆炸?如此等等。


现在,只剩下一个大问题:对这个设想中的氢弹,外来的向内的压缩波将从何而来?


这时,黄祖洽忽发奇想。


黄祖洽是谁?黄祖洽(1924-2014)是氢弹理论组的组长,也就是于敏和何祚庥的顶头上司。在23位两弹一星元勋的名单里没有黄祖洽,这不是因为他的贡献不够,而是因为他发现文革造成了严重的人才断层,1980年到北京师范大学当了教授,教书育人去了。经常有人问他对没有被评为元勋是否感到遗憾,他的回答是:“不是因为可以当功臣,我才去做这件事。它是国家的需要,也是我个人的兴趣。”


黄祖洽


2004年黄祖洽80岁生日时,100人出席祝寿,其中院士就有50多人。黄祖洽与西南联大时的同学李政道手拉着手,两人笑着走进了庆祝会场。紧随其后的是杨振宁学长。杨振宁说:“老黄会对自己在中华民族确立世界地位中的贡献,感到骄傲与欣慰。”李政道说:“黄祖洽对原子弹和氢弹的研究都有极重要的、历史性的贡献。”


2014年9月7日,黄祖洽去世,享年90岁,习近平闻讯后立即表示深切悼念。《新闻联播》的报道中把他称为:“两弹一星”杰出贡献者。


让我们回到何祚庥的文章。黄祖洽提出的设想是:我们是否可以用大量的U-235,比如1吨重的U-235做成一个大壳子,在里面(而不是外面)放上大量的氘化锂?这一特制的原子弹会产生向心的压缩波,也许能点燃里面的氘化锂?


于敏和何祚庥都说“好”!当他们用计算机算出这个设计的爆炸当量时,发现竟然高达几千万吨!也就是说,他们在“纸上”做出了一个氢弹!


不过一吨U-235相当于30枚原子弹的用量,这是无法实现的。因此,剩下的关键问题仍然是:巨大的向内压缩的压力从哪里来?


请看何祚庥的原文:


“在那一时期,我们未能获得真正解答。不过,我们确曾注意到,原子弹爆炸后首先放出的是强射线,其总量约占总能量的6%。所以,一个2万吨级的原子弹首先放出约等于一千二百吨TNT当量的射线!果能设法将这一巨大的射线能量投射到某个铀238外壳,也许如此巨大的当量的‘炸药’可以将氢弹压缩成为一个超超临界的小球,从而诱发链式反应式的爆炸。”


大家还记得前面对泰勒-乌拉姆构型的猜测吗?把原子弹放出的X射线的能量回收变成热能,也许就可以引发聚变。他们终于找到了这个关键!


不计其数的演算,换来一瞬间爆发的绚烂。1967年6月17日,中国成功爆炸第一颗氢弹。当全国上下为此沸腾欢呼时,黄祖洽却显得十分平静:“搞理论的人,觉得理论上应该是可以成功的。”正因为有了前期一百二十分严谨踏实的准备工作,才会有一百分的“意料之中”。


中国第一颗氢弹爆炸


后面,何祚庥写道:


“时光如驶,现在已过了50年的保密期。回顾这里研究所得结果,均已在国外公开发表,或写成科学论文,甚而已写成一本本的专著。”


后来,发生过一场氢弹理论发明权的争论。何祚庥向邓稼先详细介绍了于敏在原子能研究所做的全部工作。


邓稼先


何祚庥写道:


“从我来看,我认为于敏是当之无愧的中国氢弹构型的最主要的发明者。


回顾那一时期所做各项工作,可以说,在氢弹的预先研究过程中,几乎所有的难点的解决都出自于敏的贡献,而我仅是站在一旁的积极的促进者!”


然后,还有一个经典的问题是:于敏是不是中国的“氢弹之父”?


何祚庥的回答是:


“于敏曾多次否认他是中国的‘氢弹之父’。因为氢弹的研究,包括氢弹的预先研究,的确是很多人集体研究的结果。……


那么,于敏做贡献‘何在’?也许我们可以打一个‘比喻’。一个由11人组成的‘足球队’,在场上踢球,互相将足球传来传去。但起关键作用的人员,却往往是,场外教练和冲在前面的举足射门的前锋。于敏正是这支足球队的教练兼中锋。至于我,虽然也忝在前锋之列,但我这位‘边锋’,虽然也曾多次和于敏并肩作战,相互配合传球,但到了关键时刻,‘临门一脚’,‘应场入网’的却总是于敏院士。至于我,最多只能将足球踢到能由于敏‘举足破门’的最佳位置。


所以,从我来看,将中国的氢弹称之为于敏构型,是完全准确而恰当的。”


最后,记者问何祚庥:在工作中,您和于敏先生有过分歧吗?您是如何看待这些分歧的?


何祚庥回答:


“在工作中我和于敏当然有过分歧,于敏不可能什么都正确,我和他在个性上都会坚持自己的意见,常会互相指责对方不对,有时争论急了,相互指责对方为‘狗屁不通’。但第二天一大早,又相互找对方又继续讨论研究,找出解决分歧的方法。因为我们两人都是一心做研究,一心求真理,彼此都会坚持真理,彼此也都会在真理面前而妥协。现在回忆起来,仍然认为,那段岁月,是我们的科学生涯中,最为愉快的一次合作。”


人生有这样真正的朋友,真正的战友,是何等的幸运!让我们为前辈科学家们鼓掌!


我们介绍完了何祚庥这篇长文和奇文。大家是不是感到荡气回肠,受益匪浅?


那么世界上是不是存在两种氢弹构型,即泰勒-乌拉姆构型和于敏构型,而且于敏构型优于泰勒-乌拉姆构型?


现在,我们可以回答一个问题,也就是本系列文章一开始就提出的问题:世界上是不是存在两种氢弹构型,即泰勒-乌拉姆构型和于敏构型,而且于敏构型优于泰勒-乌拉姆构型?


合理的回答是:不知道。


何祚庥的文章说明了一点,于敏是对中国突破氢弹原理功劳最大的人,因此把中国的氢弹构型称为于敏构型是合理的。在这个意义上,我们当然可以说世界上存在泰勒-乌拉姆构型和于敏构型。不过,于敏构型与泰勒-乌拉姆构型有没有区别呢?有没有可能两者根本就是一回事?


从前面提到的所有信息中,——再次强调一下,这些全都是公开信息,不见得真实,——可以感觉到两种构型的基本思路似乎差不多。那么,两者有没有真正意义的区别呢?


网上不少文章说有区别,说得有鼻子有眼的。但实际上,这些全都是无稽之谈,因为这两种构型的细节都是顶级机密!对我们这些吃瓜群众而言,知道一个都是不可能的,怎么可能知道两个?还去比较它们的区别?所以,真正合理的回答只能是:不知道。


实际上,对于于敏构型是否优于泰勒-乌拉姆构型的整个讨论,意义都很有限。如果纠缠于这个问题,就把重点带偏了,好像如果于敏构型不优于泰勒-乌拉姆构型,价值就降低了似的。但真正重要的,其实就是中国成功掌握了氢弹!至于是以什么方式掌握的,跟别人的有没有区别,那完全是枝节问题。我们需要强调一下,两弹一星的价值主要是在国家安全方面,而不是在科技创新方面。别的国家最关心的是中国有没有核威慑,而不是中国的核威慑有多少创新。


在研发出氢弹之后,于敏还做了许多重要的工作,例如领导突破了第二代核武器,即提高核装置的当量质量比以及小型化,又领导突破了中子弹。此外,于敏还开拓指导了我国对惯性约束聚变与X光激光的研究。不过相关文章中对于这些研究过程的介绍远没有像何祚庥那样详细,因此我们就不多谈了。


但是,于敏有一个战略决策方面的事迹,绝对值得介绍一下。


八十年代中期,邓稼先和于敏审时度势,对世界核武器科学技术发展趋势做了深刻分析,认为美国核战斗部的设计水平已接近理论极限,他们为了保持自己的核优势、限制别国的发展,很可能会加快禁止核试验的谈判进程,遏制我国核武器的发展。而那个时候中国正处于突破第二代核武器优化设计的关键时刻,如果必须做的热试验还没有做完,该拿的数据还没拿到,核武器事业很可能“功亏一篑”。1986年,邓稼先和于敏向中央递交建议书,要求加快核试验步伐,尽早完成必须要做的核试验。中央很快批准了他们的建议。


1987年,里根与戈尔巴乔夫会谈


1992年,美国在完成了最后6次核试验后,果然开始积极进行全面禁止核试验的谈判。1996年,《全面禁止核试验条约》签署。


正是邓稼先和于敏的建议书提前规划了我国核试验的部署,促使中央作出果断决策,为我国争取了宝贵的10 年热核试验时间,做完了必须做的热试验。该建议为提升我国核武器的水平,保障中国大国地位的确立,推动核武器装备部队并形成战斗力发挥了非常重要的前瞻性作用。


中国只做了45次核试验,仅为美国的4%,经费投入也少得多,但在核武器物理设计方面,经过原子弹、氢弹、小型化、中子弹、安全型初级五个台阶,已经达到了国际先进水平。这是由于我国采用了正确的核武器发展方针,在目标的选择和技术途径的抉择中采取了积极而又慎重的态度,使得在实际发展中几乎没有走什么弯路。在这条具有中国特色的核武器成功发展道路上,于敏是当之无愧的重要引领者与设计师。


关于于敏的生平,还有一件值得注意的事,是他没有出国留过学,完全是在国内受的教育。著名物理学教育家、2016年国际物理教育奖章(ICPE-Medal)获得者赵凯华教授写过一篇长文《中国物理教育从无到有并达到国际水平的历程》,最后一节是“40年代本土科学家的成长”。


赵凯华领取2016年国际物理教育奖章


赵凯华举的例子包括:冯端、王业宁、吴全德、黄祖洽、叶铭汉、李德平、于敏、马祖光、周光召。最后,赵凯华指出:


“能培养出国际水平的本土科学家,标志着我国的科学教育已达到国际水平。从1905年清廷废科举兴学堂开始,到20世纪40年代末,在短短的半个世纪里从科盲状态达到现在的水平,是很不容易的。前辈科学教育家筚路蓝缕,披荆斩棘,身体力行,言传身教,功莫大焉。”


我们崇敬于敏,主要是因为他对核武器研究的贡献。同时我们也要看到,于敏这样做的代价是远离了他喜爱的基础研究。


美国氢弹之父泰勒和苏联氢弹之父萨哈罗夫,在基础研究中都有非常重要的成果。例如泰勒提出了姜-泰勒效应(Jahn-Teller effect),这是一个在化学和物理中十分著名的效应,导致分子的对称性自发降低。

姜-泰勒效应


萨哈罗夫发明了托卡马克,这是一种重要的核聚变装置,例如中国科学院等离子体物理研究所的EAST就是一台托卡马克。


苏联1987年邮票上的托卡马克


以于敏的天才,他原本可以做出大得多的基础研究成果。在这个意义上,于敏来研发氢弹,其实是一种大材小用,是一种牺牲。


美国第二任总统约翰·亚当斯(John Adams,1735-1826)有一段名言:“我必须学习政治和战争,这样我的儿子们才能自由地学习数学和哲学。我的儿子们应该学习地理、自然历史、造船、航海、商业和农业,以便让他们的孩子有权利学习绘画、诗歌、音乐、建筑、雕塑、挂毯和瓷器。”


约翰·亚当斯


于敏正是为中国人民做到了这一点。我们现在可以自由地研究各种科学,研习各种艺术,追求各种乐趣,都离不开于敏和他的同事们提供的保护,无声而强大的保护。


如果用四个字来形容于敏的一生,就是:壮志已酬。


如果用两个字来形容于敏的一生,就是:无憾。


袁岚峰,中国科学技术大学化学博士,中国科学技术大学合肥微尺度物质科学国家研究中心副研究员,科技与战略风云学会会长,青年科学家社会责任联盟理事,中国无神论学会理事,安徽省科学技术协会常务委员,微博@中科大胡不归,知乎@袁岚峰(https://www.zhihu.com/people/yuan-lan-feng-8)。

Copyright © 2021.Company 全民古玩网QVIP.NET All rights reserved.全民古玩网加密货币交易所