• 全民古玩网瓷器、玉器、古币、银元、字画、文玩杂项、博物馆馆藏、古董收藏、古玩收藏

海量数据还原历史,龙洋银币铸造数量

  • 古钱币交流圈
  • 2021年12月24日06时

“龙洋”是清光绪至民国年间流通的银币,正面铸有“光绪元宝”四字,中间有小满文,并有铸造地名和“库平七钱二分”计重;背面为龙图,四周铸有外文(见图)。这种既有龙图又有外文的银币被称为“龙洋”。


此银币首先由广东造币厂于光绪十六年(1890年)正式开铸,后各省陆续铸造。关于各造币厂铸成“龙洋”之数量,因统计中所采用单位“元”与“枚”的不同,以及一些数据中含有其他银币,由此造成统计数据互有出入。笔者依据相关史料,试从各造币厂起铸至停铸时间入手,尽可能考述出各厂铸成龙洋的数量。


扑朔迷离的铸成龙洋总量

1919年财政部钱币司编《币制汇编》载:“自光绪十六年开铸,至三十四年(1908年)止,各省局厂报告铸数大银圆约共四十余兆,小银圆约共一千四百余兆,为数甚巨。”

1932年陈度编《中国近代币制问题汇编》载:“中国龙洋之开铸始于广东,继之以湖北江南,再继之以其他各省。……惟据民国二年(1913年)十二月十七日财政部泉币司所制之调查表,计天津、广东、武昌、四川、江南、奉天、云南、湖南、河南、福建、吉林、江苏、清江、安徽、山东、江西、浙江十七处银元局。自开办以来,截至是年报告之时为止,共206028152元。”

1926年张家骧著《中华币制史》载:“现今各省行川之银铜各币,约可分为新旧式二大种。……据民国7年财政部所发表之币制节略内载,旧型大小银圆总计合银一元八万一千余万元。其中,一元银主币约占二万三千五百余万元。”

另,民国8年,财政部调查各省造币厂铸造的清代龙洋数量为“286391413枚”。

各造币厂铸成版式和数量

自光绪十六年广东造币厂正式开铸后,截至民国18年云南造币厂铸成最后一批龙洋止,历经40年。期间,各省造币厂铸成龙洋版式众多,各版铸成数量互有不同。尤其是进入民国到开铸袁像银币前所铸成龙洋数量巨大。这是源于北洋财政部在民国3年8月21日,饬南京、湖北、奉天、四川、广东、云南各造币分厂,“国币新模未颁前,各厂改用北洋造钢模铸造银元……北洋银元重量为七钱二分,公差万分之三,标准成色为八九,平均公差千分之三,最低者为八八八,再低即须重铸……北洋造钢模,应先详部核准向总厂领取”(中国人民银行总行参事室编《中华民国货币史资料第一辑》)。经查各造币厂铸成龙洋数量和版式如下:

广东造币厂

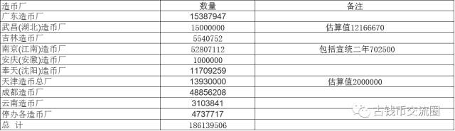
据张家骧编著《中华币制史》,该厂从“光绪十六年至民国5年底止,铸成龙洋数量为18809010枚”。另查自民国4年8月13日至民国6年底止,共铸成袁像银币5835933枚;期间共29月,月均铸造量为201239枚。就此得出民国4年8月至5年底总计铸成袁像银币3421063枚。综上统计,该厂历年铸成广东省造光绪、宣统版龙洋准确数量应为:18809010-3421063=15387947枚。

武昌(湖北)造币厂

民国3年8月21日,武昌造币分厂厂长文定祥电文财政部《请准暂用旧模俟中国、交通两行托铸数造竣,即行停止》记载:“遵查铸造银币,必须预领祖模……而因欧事发生,汉市银元缺乏,中国、交通两行为救济市面计,托赶铸四十万元,权用库存前清旧模,于十八日开铸,约旬日即可铸完。

奉电前因,北洋模既赶领不及,两行又待用孔殷,拟恳准暂用旧模,俟前数造竣,即行停止。仍一面派员赴津领模,嗣后续铸,即用北洋造钢模,以归一律……财政部复电武昌造币分厂:准暂用旧模代中国、交通两行赶铸银元。”据此获知,该厂在民国3年8月前,是采用旧模铸造银币。其历年铸成龙洋 数量见表1。

由于武昌造币厂当年案卷遗失,如依据现今存世量与广东铸成龙洋数相近估测,武昌造币厂从光绪二十二年至宣统二年六月铸成数量应在1500万枚左右。

吉林造币厂

据张立明、游孚生编著《吉林铸币》载:“在清代吉林档案史料选编《财政·货币金融》第4648号记载:吉林机器局自光绪二十二年十一月至光绪二十五年五月底,三年共得吉平银元三十四万五千七百二十五两四钱三分五厘八毫零七微六纤四沙。”

按估算,光绪二十二年十一月至二十五年五月底铸成的“吉林省造”各版式七钱二分龙洋数量约为:345725×37.5%≈129647枚。“由于银元厂光绪二十六年遭到沙俄侵略军洗劫,俄兵将机器局占据,档册毁失,数年来造元及赢余各数无卷可稽”“从光绪二十七年至三十三年共铸造七钱二分银元4734717枚”。

光绪三十三年吉林、奉天银元局厂合并为东三省制造银元总局,三十四年宝吉局合并到银元局,由于铸成龙洋数量未有记载,如取光绪二十七年至三十三年共铸造银元4734717枚的年平均值,就此估算光绪三十四年铸成龙洋数量为:4734717÷7≈676388枚。

综上统计,吉林造币厂历年铸成龙洋总数量为:129647+4734717+676388=5540752枚。

南京(江南)造币厂

据南京金融志编纂委员会、南京市钱币学会合编《南京钱币史(资料专辑)》载:“清光绪二十三年十二月,江南厂开铸‘光绪元宝’,世称‘龙洋’。首铸无干支纪年,称‘老江南’,次年起加铸纪年,称‘新江南’。宣统二年颁《币制则例》,宁厂铸大清银币,数月即止……江南厂在清末14年中,共铸龙洋1547.75万余元,占全国龙洋铸数5.4%。”“民国元年,江南厂改为中华民国造币总厂……民国政府北迁后,令宁厂用江南旧模铸造银元。”其历年铸成龙洋数量见表2。

综上统计,该厂历年铸成江南省造龙洋总数量为:52807112-702500(宣统二年数量)-100000(孙小头上、下五星版数量)=52004612枚。

安庆(安徽)造币厂

该厂建于光绪二十三年,最初定名安徽银元局。光绪二十四年三月开铸安徽银币。七月二十五日,安徽巡抚邓华熙上奏朝廷《报告安徽已开铸银元》中记载:“按照广东、湖北银圆分两成色,并錾明年份及安徽省造字样,铸成大小五种银圆,统归库平校准,大圆重七钱二分,其次为两开重三钱六分,又次为五开重一钱四分四厘,又次为十开重七分二厘,又次为二十开重三分六厘。”

光绪二十五年铸有安徽省造库平七钱二分、一钱四分四厘、七分二厘、三分六厘银币,同年六月奉上谕停铸,铸期仅一年。期间“共铸有5种(套)版式银元及银辅币,发行量在600万枚以上”(1993年安徽省钱币学会编《钱币文论特辑》(第二辑)黄礼传《安庆造币述略》)。其中有多少数量的七钱二分龙洋,因未见史料记载,故无法获知。但从现今存世量稀少的现状,以及每款钢模使用寿命估测,得出安徽省造龙洋铸成总数量应在100万枚左右。

奉天(沈阳)造币厂

该厂于光绪二十二年开工兴建,初建称奉天机器局,光绪二十四年开始正式铸造一元银币。银币正面图案为蟠龙,背面图案镌刻“奉天机器局”和“光绪元宝”字样。光绪二十六年5月义和团兴起,10月沙俄军队攻陷省城奉天,奉天机器局被俄军占据捣毁。

光绪二十八年3月,经盛京将军增祺向俄方交涉,奉天机器局收回,并将机器局与造币厂分开,设立奉天制造银元总局,对残损机器重新修复,光绪二十九年7月恢复生产,铸造光绪元宝龙洋。光绪三十三年,徐世昌就任东三省总督,将奉天制造银元总局与吉林银元局合并为东三省制造银元总局,主要制造“东三省造”双角(库平一钱四分四厘)银辅币,并铸成少量东三省造光绪元宝七钱二分银币。

宣统二年,清廷户部决定将各地造币权收归国有,造币总厂设在天津,东三省制造银元总局改为奉天造币分厂,铸造双角银辅币。

经查,该厂于“光绪三十一年至民国6年底止,铸成龙洋11709259枚”(1926年张家骧编著《中华币制史》)。这一时期铸成的版式为“北洋造”银币。另依据现今“奉天机器局造”“奉天省造”多种版式银币存世量推测,当时铸成数量不多。

天津造币总厂

该厂前身为北洋机器局、户部造币总厂、度支部造币总厂,从光绪二十二年开铸。据《天津通志·金融志》载:“光绪二十三年天津北洋机器局正式铸造银元,光绪二十五年又改铸成正规的龙洋,上端有‘北洋造’三字。光绪二十九年清政府在天津设立铸造银钱总厂,以后又易名户部造币总厂。同年试铸镌刻“光绪元宝”的库平一两银元。

铸数不多。由于清政府内部对银币以两为单位,又曾于光绪三十二年和光绪三十三年试铸面值各为一两和一元的大清银币。宣统二年,清政府颁发《币制则例》,正式规定银元为本位币,铸币权收回中央,统一铸造库平七钱二分银币。原隶属直隶省的北洋机器局易名造币总厂,铸造背面镌有汉文、年号、英文的‘大清国币银币’龙洋。”“自光绪二十八年至光绪三十三年三月,该局五年间共铸银元571万元。光绪三十三年五月,总厂始铸四种通用纪值大清银币,至八月共铸300万元,因清政府内部对币制意见不统一,再次停铸。”

北洋造34年版银币,因无案可查,无据可依,故只能推算。津厂从光绪二十八年至光绪三十三年八月间,年均铸币约(571+300)÷5≈174万枚,就此得出天津厂铸成北洋34年版银币约174万枚。

宣统三年六月初一,用新版祖模开工鼓铸宣三银币,期间津厂共铸造宣三版银币约348万枚。

综上统计,该厂历年铸成龙洋总数量为:571+300+174+348=1393万枚。另从光绪二十二年至光绪二十七年,该厂铸成有北洋22年、23年、24年、25年、26年共5种版式,由于未见史料记载铸成数量,故无法统计。如依据现今这五种版式银币存世量估测,当时铸成共计数量应在200万枚左右。

成都造币厂

据《四川文史资料选辑》第41辑潘峻山《成都造币厂史料》载:“光绪二十三年四川总督鹿传霖以银价过低,制钱缺乏,奏准创办银元局,用机器局的空余地面建筑厂房,于1898年6月落成。外国技术人员艾文澜、强必尔送机器到成都。到1899年6月朝廷有旨,令将各省银元改归鄂、粤代铸,川厂因停办。光绪二十七年川督奎俊又以四川省地僻道险,求邻靡易,奏准复设,当年10月开工专铸‘七二’银元。”其历年铸成龙洋数量见表3。

云南造币厂

光绪三十三年十一月开炉试铸,光绪三十四年正月正式开铸。厂址位于今昆明市钱局街宝云局旧址内。铸成银币版式有粗字粗龙(老版龙)与细字细龙(新版龙)之分。“宣统三年,为统一币制起见,乃将粗字粗龙各祖模全部销毀,专制造细字细龙”(《云南近代货币史资料汇编》)。其历年铸成龙洋数量见表4。

停办各造币厂

经查,“停办各造币厂累计铸成龙洋4737717枚”(1926年张家骧编著《中华币制史》)。

铸成龙洋总量

中国各省造币厂历年累计铸成龙洋数量见表5。

北洋29年、33年、34年版银币共计铸成数量约为6168万枚。其中北洋34年版为最多,33年版相对较少。江南甲辰版银币铸成数量约为3815万枚,宣统三年版银币铸成数量约为1410万枚。通过以上介绍,广大钱币爱好者可据此获知,现今为什么以上5个版式龙洋存世数量要远远多于其他版式龙洋的真正原因。

销毁龙洋数量

民国3年年2月7日公布《国币条例》,各省造币厂遵照条例规定陆续回收龙洋,并改铸成袁大头银币。其历年销毁龙洋数量见表6。

表1 武昌造币厂历年铸成龙洋数量(单位:枚)

注:以上年份、数量来自1982年中国人民银行武汉市分行金融研究室编著《武汉近代货币史料》(内部发行)第44页;1930年《财政部钱币司章制汇编(附统计报告)》第171~172页。

表2 南京造币厂历年铸成龙洋数量(单位:枚)

注:以上年份、数量数据来自南京金融志编纂委员会、南京市钱币学会合著《南京钱币史(资料专辑)》第105页。

表3 成都造币厂历年铸成龙洋数量(单位:枚)

 注:以上年份、数量来自1930年《财政部钱币司章制汇编(附统计报告)》第171~172页、第140页。

表4 云南造币厂历年铸成龙洋数量(单位:枚)

  注:以上年份、数量数据来自中国人民银行云南省分行金融研究所编印《云南近代货币史资料汇编》(内部发行)第79页、第150页。

表5 各省造币厂历年铸成龙洋数量(单位:枚)

表6 各造币厂历年销毁龙洋数量(单位:枚)

  注:以上数据来自1926年张家骧编著《中华币制史》(第五编 金银铜统计)第45页;1930年《财政部钱币司章制汇编(附统计报告)》第169页、第172页、第176页。

*查1930年《财政部钱币司章制汇编(附统计报告)》第175页,天津造币总厂从“民国9年7月至18年1月间,销毁旧币数目为656336枚”, 笔者据此推算9年间,年均销毁数量为72926枚,就此得出从民国13年至18年1月,销毁旧币数目约为72926×5=364630枚。

星标方法

想要第一时间收到最新的消息

请把古钱币交流圈设为星标


如何设置星标


如果你是安卓手机

如果你是苹果手机





长按二维码
关注我们吧

点击“阅读原文”进入官方商城!

Copyright © 2021.Company 全民古玩网QVIP.NET All rights reserved.全民古玩网加密货币交易所