• 全民古玩网瓷器、玉器、古币、银元、字画、文玩杂项、博物馆馆藏、古董收藏、古玩收藏

中国历史朝代纪元表(点击图片看大图)

  • 古籍
  • 2022年1月01日12时

一、本表起于公元前841年西周共和元年,到公元1949年中华人民共和国成立为止。

二、本表按年代先后,分为十二诸侯(周、春秋)、战国、秦、汉、三国、晋及十六国、南北朝、隋、唐、五代十国、宋辽金、元、明、清、民国等十五个纪年表。另附辛亥革命期间所用黄帝纪年对照表及韵目代日表。

三、本表第一栏为公历纪年,第二栏为干支纪年,第三栏一般为王朝,以下则罗列重要的并建立年号的封建割据、少数民族政权,以及农民起义和农民战争。凡农民革命政权和所建的年号皆加〔 〕标志。

四、本表从秦代开始,注明帝王即位、建年号、改年号以及覆灭的阴历月份,各加圆圈标志。如公元254年栏内的“高贵乡公正元”,即表明高贵乡公在该年十月即位,建年号正元,同时表明十月以前仍为齐王嘉平六年。凡在正月者一般概不注月份。又如公元167年栏内“永康1(灵帝)”,即表明桓帝在该年六月改年号永康,同年十二月灵帝即位,仍用永康年号。又如公元220年栏内“延康1”,即表明献帝在该年三月改年号延康,同年十月覆灭。凡农民革命政权的建立和年号的更改,以及失败的阴历月份,亦各加圆圈标志。如1622年栏内的“徐鸿儒〔大成兴胜〕1”,即表明徐鸿儒在该年五月起义,建立政权,年号大成兴胜,同年十月失败。

五、为检查公历纪年和中国历史纪年对照的绝对年份,从公元1年开始,在第三栏内左方加注同公历12月31日相当的中国历史纪年的月日。如公历1141年所注,即表明公元1141年的12月31日相当于宋高宗绍兴十一年十二月初二日。(如岳飞死于此年十二月二十九日,则据此可推知已是1142年,不是1141年。)

六、凡年号有异说及干支字有改动者,均加注明。如汉武帝征和年号,或作延和,即用“征(延)和”表明;太平天国曾改干支中的丑为好、卯为荣、亥为开,亦在有关年代中加以注明。


(一)*十二诸侯(周、春秋)纪年表


*据《史记·十二诸侯年表》。按《十二诸侯年表》讫于公元前477年,本表最后一年系编制时所补。


*《史记·十二诸侯年表》:“鲁孝公称元年伯御立为君,称为诸公子”,一般年表或以鲁君为伯御,非孝公,至公元前796年“周宣王诛伯御,立其弟称,是为孝公”,方为孝公元年。


*一般从本年开始划为春秋时期。


*惠公复为齐国所立,入卫。***曲沃武公灭晋侯湣,并晋,已立三十八年,不更元。
  **厉公是年复立。


(二)*战国纪年表


  *本表据《古本竹书纪年》编制,并参考今人考订。“十二诸侯纪年表”中的鲁、宋、卫、郑四国至战国时尚存,以《史记·六国年表》及一般年表均未列入,本表皆从略。越国世系,今人虽有考订,但异说颇多,亦从略。按本表所据非《史记·六国年表》,故开始年所列燕国世系、年代,与前表所列燕国最后一年未能衔接。

(三)秦纪年表

*本年秦统一全国,秦王政称始皇帝。**子婴八月即位,十月即降于刘邦,秦以十月为岁首,故列在前206年栏内。

(四)汉纪年表

*年号自此始。

*十二月王莽建立新朝,年号始建国,即以本月为正月。***一作汉复。**均在次年。

(五)三国纪年表

(六)晋及十六国纪年表

*据《晋书·张轨传》和出土文物,前凉除公元354年曾改“和平”外,初用晋愍帝“建兴”年号,公元361年又改用东晋穆帝“升平”年号。宋龚颖《运历图》记张寔改元“永安”、张茂改元“永元”、张重华改元“永乐”、张玄靓改元“太始”、张天锡改元“太清”、张大豫改元“凤凰”,见《郡斋读书志》卷五,与历史实际不合,兹不从。
  **刘曜改国号为赵,史称前赵。

*慕容皝于是年始称燕王。**苻健于是年建国号秦。


  *是年七月乞伏乾归降于秃鬟利鹿孤,八月又降于后秦,至公元409年复位。
  **是年三月仍称隆安六年,寻改年号为大亨,次年又改称元兴二年。
  ***桓玄称帝,年号建始,寻又改永始。
  ****是年二月秃髮傉檀去年号,至公元408年复称凉王。

(七)南北朝纪年表


  * 据吐鲁番文书,北凉尚有“缘禾”、“建平”等年号。待考订。

* 据甘肃出土《王保真墓志》:“大赵神平二年岁次己酉。”“神平”或作“神兽”。

(八)隋纪年表


  * 一作延康。
  **是年十一月改国号为夏。
  *** 一作大业十三年(公元617年)建年号安乐。

(九)唐纪年表


  *一作天成。
  **一作大业十一年(公元615年)建年号明政。***辅公柘年号,乾德见《杨文公谈苑》,天明见万斯同《纪元汇考》,
  但《旧唐书》、《新唐书》和《资治通鉴》皆未记载。今从一般年表暂列天明年号。


  *一作二月。
  **一作九月。
  ***用子正,以十一月为载初元年正月,至久视元年复寅正。
  ****此为乙来年的十二月。
  *****据《资治通鉴考异》卷十二引《则天实录》,神龙本为则天
  年号,不久,中宗复辟,沿用不改。

*是年九月壬寅(二十一日)去年号,但称元年。
  **一作昇国。
  ***据金毓黻《渤海国志长编》卷五年表和今人考订。据渤海《贞惠公主墓志》大钦茂于公元774年曾改元宝历,但《贞孝公主墓志》所记卒年
  又为“大兴五十六年六月九日壬辰”,是大钦茂晚年不用宝历年号,仍用大兴年号,今暂如此排列。

* 《新唐书·吐蕃传》:长庆元年。唐与吐蕃会盟,“策署彝泰七年”;《唐蕃会盟碑》碑阴藏文亦记:“其立石于此,为大蕃彝泰九年,大唐长庆三年”。据《资治通鉴考异》卷二十一引《补国史》可黎可足卒于文宗开成三年.本表即据此排列。

*是年建国号齐。金统改元在十二月,相当于公元881年,以与旧史相应,仍列入公元880年栏内。

(十)五代十国纪年表

*据《新五代史·于阗传》:后晋天福五年,晋臣高居诲等赴于阗,“其年号同庆二十九年”。据此排列。又据敦煌文书,此后尚有“天兴”、“天
  寿”、“天尊”等年号,待考订。

*是年耶律倍卒,东丹至公元982年始亡。
  **是年始改国号为辽,公元983—1066年间曾重称契丹。

(十一)宋、辽、金纪年表

*是年七月刘钧死,养子继恩立,九月继恩被杀,弟继元继立,均沿用天会年号。

*西夏年世异说颇多,今据《宋史·夏国传》和西夏石刻、官印、写经题记等编制,并参考今人考订。

*据汪远孙《西辽纪年表》。

*是年始改国号为元。

(十二)元纪年表

*是年八月,张士诚降元,至正二十三年(1363)又自立为吴王,二十七年(1367)九月国亡。

*元惠宗(顺帝)退出大都(今北京市)。
  **据重庆明玉珍墓出土《玄宫之碑》:“癸卯岁正月朔旦,受皇帝玺绶,国号大夏,改元天统。”是明玉珍建夏改元应在1363年,尚待考证。

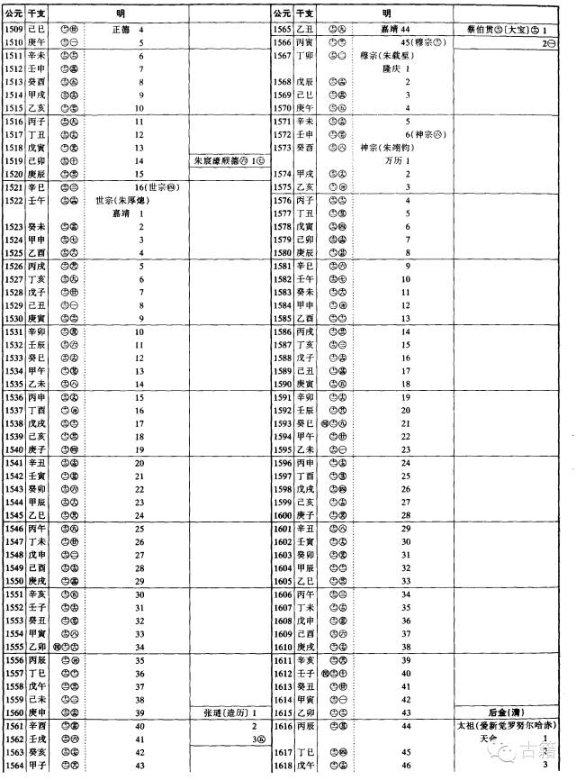
(十三)明纪年表

*昭宗以后史称北元。

*是年始改国号为清。

(十四)清纪年表

*太平天国金田起义在道光三十年十二月初十日,相当于公元1851年1月11日,以一般习知金田起义在1851年,故列辛开元年在1851
  年栏内。
  **穆宗七月即位,改年号祺祥,十月再改同治,以明年为同治元年。
  ***太平天国天京陷落于1864年7月19日(同治三年六月十六日),一般即作为太平天国的结束,但也有延伸到1868年8月16日(同治七
  年六月二十八日)捻军在山东徒骇河失败,作为太平天国结束的。

(十五)民国纪年表

*本年10月1日中华人民共和国成立,采用公历纪年。

〔附一〕*辛亥革命期间所用黄帝纪年对照表

*各纪年中,以《民报》所用年代为多数革命党人所接受,武昌起义后湖北军政府文告,即以此为据,各省响应的文告也多采此说。孙中山就任临时大总统时,通电各省,以黄帝纪年四六○九年十一月十三日为中华民国元年元旦,因此,黄帝纪年使用至该年十一月十二日(1911年12月31日)为止。


[附二]韵目代日表


Copyright © 2021.Company 全民古玩网QVIP.NET All rights reserved.全民古玩网加密货币交易所