• 全民古玩网瓷器、玉器、古币、银元、字画、文玩杂项、博物馆馆藏、古董收藏、古玩收藏

湖北云梦战国墓出土惊世简牍文物——中华“第一长文觚”

  • 壹号收藏
  • 2021年11月17日12时
11月16日,据湖北云梦郑家湖墓地联合考古队对外披露,该墓地发掘出土一枚战国晚期木觚[gū古代用来写字的木简],觚上以秦隶书写约700字。专家认为,该觚年代最早,觚文篇幅也最长,是目前所见中华“第一长文觚”,对进一步研究当时社会、历史与思想具有重要价值。


图为云梦战国墓葬出土长文木觚。(湖北省文物考古研究所供图)


考古人员介绍,这枚木觚由一截圆木纵向中剖而成,长34厘米、宽3.5厘米。半圆形木面修削成七个棱面,每个棱面宽约0.5至0.6厘米,均书写文字;平整剖面亦分七行,其中六行书写文字,一行留白。全文约700字。觚文是一篇全新策问类文献,风格与《战国策》相似,未见于传世文献,属于佚篇,为今人探讨《战国策》一类文献的流传与演变提供了新材料。


觚文记载了谋士筡游说秦王寝兵立义的故事。事件发生在战国后期,当时秦国势头强劲,东方五国结盟抗秦,取得暂时胜利,谋求与秦休战,故派谋士筡前往秦国游说秦王。筡引经据典,又以自己所见所闻,劝说秦王止兵,使民安居乐业。最后,筡细述秦国地广、兵强、人众、物丰,暗喻秦王应当“知足”停战。


云梦睡虎地秦简


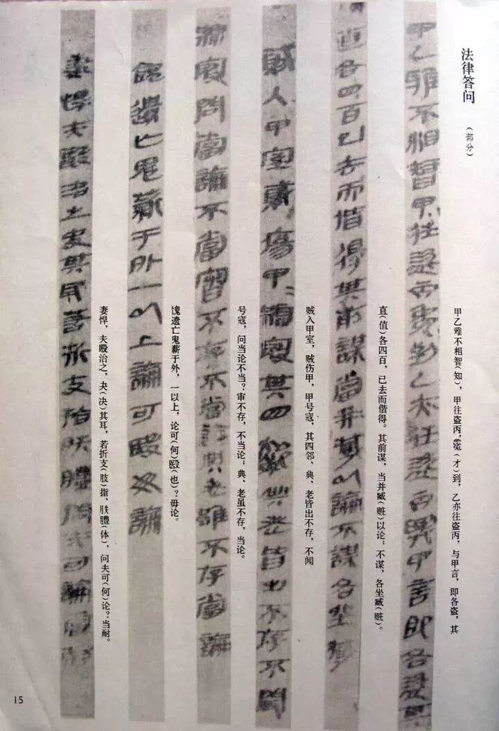
1975年12月,同样在湖北云梦,考古工作者发掘了12座战国末期至秦代的墓葬。其中,在11号墓葬中发现大量竹简,经整理共有1155枚。这是我国考古学史上首次发现的大批秦简,被称为“云梦睡虎地秦简”,现藏于湖北省博物馆,属国家一级文物。

秦简挖掘现场图


“云梦睡虎地秦简”的内容很丰富,共有《编年记》《语书》《秦律十八种》《效律》《秦律杂抄》《法律答问》《封诊式》《为吏之道》《日书》甲种和乙种等十种。主要内容是关于秦的统一战争、中央集权制度、军事制度、法律刑制,秦对农业、手工业和贸易的管理,以及统一度量衡和统一货币等。此外,还有关于医学、哲学、“五行”学说等方面的内容。

秦简出土时示意图


在这批秦简中,秦律占50%以上,主要记载了从战国末期至秦始皇30年间的秦代史事和秦代施行的20余个单行法规,共计600余个法条,内容涉及民法、刑法、行政法、法医学、诉讼程序等,蕴含着人权、生态、环保等理念,展现了中国两千多年前的法律文化。


云梦睡虎秦简


云梦睡虎秦简极大地弥补了秦史料的不足,有助于秦文化的深入研究。其内容一半以上是关于秦代法律的,它是我国迄今发现的最早、最完整的法典。


秦简内文为墨书秦隶,写于战国晚期及秦始皇时期,反映了篆书向隶书转变阶段的情况,该竹简形体中仍保存有大量的篆体痕迹,篆隶混杂,尽管仍留有大量的篆书圆笔中锋的笔法,但汉代隶书中的掠笔、波挑、不同形态点的笔法等在简中都已出现,部分简上还有明显的连笔意识。

秦简欣赏:


责任编辑:既白

图片来源网络,如有侵权请联系删除。


壹号收藏官方合作电话:400-60-51580

客服微信号/手机号:15308651366

▲【可以不二】欢喜观照黄铜镇纸

点击图片,即可购买


▲箑边珍拓:名家竹刻扇骨拓片集
许勇翔 编著2021年9月
点击图片,即可购买


▲徐孝穆竹刻艺术拓片集(全四册)
徐孝穆著,徐晓东编
点击图片,即可购买

▲马王堆汉墓简牍书法+马王堆汉墓帛书书法:

篆隶+古隶一+古隶二+汉隶一+汉隶二

点击图片,即可购买

点击“阅读原文”,更多文房产品,即可选购

Copyright © 2021.Company 全民古玩网QVIP.NET All rights reserved.全民古玩网加密货币交易所